喷涂中由于机械对工件表面产生的不同程度污染,影响了涂层与底材间的结合程度,使涂层表面出现针孔等缺陷,对于喷粉自动生产线影响静电粉末喷涂的主要因素有以下5点原因 JBO竞博。

1、粉末导电率
全自动喷涂生产线喷涂所使用静电粉末与铝合金件之间静电电场力是喷涂动力的来源之一,粉末涂料具有的体积电阻很大程度影响着喷涂性能,如果体积电阻过小,带电粉末会冲击已经附着的粉末,而导致其脱落,而过大的体积电阻则会使得粉末电荷不易放出,使得铝合金件表面电荷聚集过多,增大的排斥力限制了厚膜的产生,基于此,需要在静电喷涂中严格控制粉末粒子的体积电阻 竞博JBO,通常将体积电阻控制在1010 ~ 1014 Ω·cm的范围内可以保证施工性能,也能够得到厚膜涂层。
2、粉末粒度
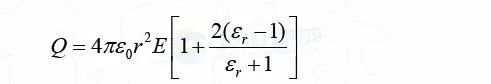
粉末自身具有的流动性,涂覆性等方面的特性,其影响着喷涂工艺,特别是容易堵塞喷枪以及膜厚方面,粉末材料依靠静电引力吸附至铝合金件表层,涂料粒子间的静电引力与其电量正相关 JBO竞博官网,静电涂料粒子带电量公式为:。

式中,Q 为粒子所带电量,ε0 为真空介电常数,r 为涂料粒子半径 JBO竞博官网是什么,E 为静电电场强度,εr 为涂料粒子介电常数。
从公式中可知,粉末粒子的带电量与粒子半径大小呈正比关系,如果粉末粒径越小,粒子的带电量就越小,其静电引力也就越小,静电引力小的粒子容易被甩出静电场或者悬浮于静电场之中,导致喷涂上粉率变低,粉末粒径过大时,带电量虽然大,然而粒子本身自重大,涂料粒子间也具有较大斥力,降低了上粉率 竞博JBO靠谱吗,太大粒径涂料难以得到厚度较薄的涂层,实际应用中,通常使用的粉末粒径为范围30~50μm。
3、喷涂电压
从3,2中的公式能够看出,静电电场强度正比于粉末带电量。位于低电压时,如果喷涂电压不断增大,涂料粉末的带电量相应增长,附着量也会随之增加,然而静电压具有饱和值,一旦大于饱和值,会发生静电排斥导致附着量的增量变少,过高的电压增加粉末击穿的可能性,危害涂层质量,常用的喷涂电压控制在60~80kV。 JBO竞博。

4、喷涂距离
喷涂距离影响的主要为涂膜厚度与粉末沉积效率两个方面,喷涂距离与电场强度息息相关,实际应用中,通常控制到的喷涂距离在200~300mm,具有较好的粉末沉积效率,如果喷涂距离过小 竞博JBO,容易使粉末击穿,影响涂层质量,而喷涂距离如果太大,沉积效率又会过低,粉末附着力降低,增加了回收粉末的工作。
5、供气压力
基于自动竞博JBO靠谱吗的吸附工艺原理,需要在喷涂工作时尽可能将气压与粉末输送的空气量按照最低要求进行,过大的供气压力使得粉末获得较大动能,使得粉末易于在铝合金件表面发生反弹而难以吸附,在实际应用中,供气压力的参数有三类,即供粉气压 JBO竞博官网,雾化气压以及流化气压,这三类压力参数值的变化均会导致喷涂效率与质量发生重大变化。